RICERCA OPERATIVA
Algoritmo del simplesso
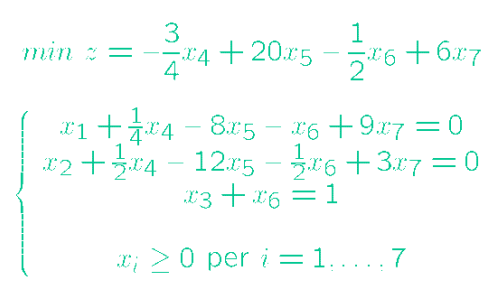
Algoritmo del Simplesso
Esegui la ricerca dell'ottimo
Come funziona il programma
Home
Nuovo Problema
Codice Sorgente
Documentazione
Roberto Foschini (2022)
rfoschini@team.itisravenna.it
https://school.cdoctor.it